Идея Масштабирование Сравнение индексов Сравнение с другими Сравнение с JPEG Результаты
Нахождение в изображении подобных областей и сохранение в файл только коэффициентов преобразований подобия. В нашем случае это квадратные области. Набор преобразований подобия -- это сдвиг, отражение, поворот и изменение яркости с контрастностью.
Сжатие -- это подбор подобных областей разного размера:

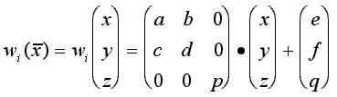
Вид преобразования:

В файл записываются коэффициенты a, b, c, d, p, e, f, q.
Сжатие происходит в случае, если коэффициенты преобразований займут места меньше, чем исходное изображение.
| 
Hosted by Graphics & Media Lab.
 http://graphics.cs.msu.su Copyright © 1999  | 
© Ватолин Д.С. ©Лаборатория Компьютерной Графики ВМиК МГУ им. М.В.Ломоносова  |